Type: MA Design Thesis
Year: Summer 2021
Supervisor: Eike Schling
Office: The University of Hong Kong, Department of Architecture
In final semester of the Master Programm students create their individual research by design, investigating place, climate, material and structure to create new architectural solutions.
Urban Garden by Zhang Houzhe
The thesis aims to add extra green space in the extremely high building density area in Hong Kong. There are many poor-quality community gardens not very popular with neighbors in the high building density
district. If I can rise the community garden upper as a big green space floating in the city that may be much improve the spatial quality of the garden and can provide many positive impacts to the city. In
nowadays, Tang Lou are surrounded by newly built high-rise buildings that create a kind of urban sky gap between Tang Lau and new highrise building. This thesis to create a win-win relationship between the
gardening space and Tang Lau in structure and program.









FROM SEED TO ARCH
Bending Bamboo in Sedimen Valley by Cécile Durand
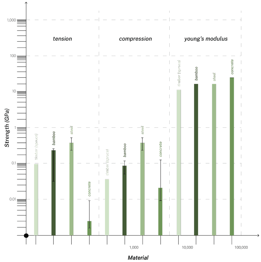
I believe that bamboo is the sustainable timber of the future, it has the ability to both restore lands as well as generate income for the people who populate these lands. Based in Bali, my thesis is a story about understanding bamboo construction and how this knowledge can be passed down to future generations. Architecture is not necessarily something that needs to be taught under fluorescent lights in a big university campus, it can be learned from mother to daughter, from father to son.
Architecture is a creative outlet that is manual at heart. As my primary form of circular process method, I focused on modelmaking with bamboo sticks hand whittled by bamboo carpenters. I learned to bend and manipulate bamboo using my hands, hoping to translate these acquired skills into a simple construction system made up of split bamboo arches. This construction manual defines bamboo as a building material, describing its journey from a seed to an arch. I hope it will invite the farmers and their families to build more sustainably to preserve the lands that make Bali the treasure it is.










Cinema under the Highway by Yiwen Zhou
This Thesis aims to study synergy of lightweight and massive structure and tries to find a feasible solution to use sustainable lightweight structure to create public space under the flyover. Through the study of tensegrity and tensile structure, the design intends to improve the spatial quality under the flyover and create a different way to experience the urban space.



Learning from Tai O Fishing Village by Man Janice Koon Ting
The thesis seeks to explore the value of Tai O village apart from being a tourist attraction and resist
the ever-present homogeneous public housing in Hong Kong. Through observational research
findings of Tai O village, qualities are acknowledged in terms of construction, composition, scale,
materiality, and the gradation of privacy. These elements are studied, recreated, and integrated into
the design of the project.
The project aims to provide an alternative modern housing system learning from Tai O. Within the
dense environment, voids are inserted both horizontally and vertically between rooms, houses, and
facades. These voids work as empty spaces for circulation, natural ventilation, gardens, communal
spaces, etc. They are fully utilized to provide a great impact on the quality of life. Subsequently,
the overall design encourages social bonds within the housing community, creating an intimate
relationship within the hierarchy of solid and void.








